冻干的过程好比一场四个人的接力赛,每个人都起着很关键的作用,其中的一方拖后腿就会使得最终的比赛以失败告终。
冻干是一个在冻干设备上完成传热传质接力赛的过程,其目标是快速将溶剂去除的同时确保良好的产品性能,其中的一个环节发生问题,就会导致冻干效率的降低或者能量过剩导致的产品温度上升,造成产品性能受损。除去设备性能主导的两个环节,剩余的就是传热和传质部分。传热和传质过程共同决定着产品的温度,如果我们把这个过程看成是一个稳态的过程,传热和传质方程式表示如下:
我们曾在《传热传质过程之传热篇--传热系数Kv的重要性,影响因素及检测方法》一篇中介绍了传热部分的关键影响因素传热系数Kv,本篇文章中,我们接着来分享传质部分的关键影响因素传质阻力Rp。
在冻干过程中,溶剂从样品中转移到冷阱中需要经过两个过程:
第一,溶剂离开冻结层样品,从瓶口逸出进入到产品腔中,这个过程面临的阻力包括干燥层的阻力以及橡胶塞的阻力;
第二,产品腔中的水蒸气带着层板提供的能量源源不断地转移到冷阱腔中,这个过程面临的阻力包括产品腔和冷阱腔之间的通道大小以及冻干设备的制冷能力,这个过程的阻力主要跟设备相关。
橡胶塞以及冻干设备选好后,对应的阻力基本可认为是固定的,因此这里主要探讨干燥层的升华阻力Rp。
什么是干燥层升华阻力Rp ?
在主干燥阶段,压力降低促使冰升华(溶剂通常来说是水),Rp是主干燥阶段水蒸气升华的传质阻力,Rp会影响到整个主干燥需要的时间以及主干燥阶段产品的温度曲线。
Rp的几个主要影响因素
1、干燥层的厚度
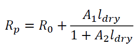
Rp一般来说会随着干燥层的厚度(Idry)的增加而增大,如果干燥层组分和结构均一,二者呈线性的关系,如下:
然而,当产品内部不均一,产品发生萎缩,压力升测试过程中发生为塌陷等原因时,Rp 和Idry 的曲线会呈非线性的关系,传统公式可表示为:
Rp: 干燥层阻力
R0:当干燥层厚度Idry=0时的阻力
A1:系数
A2:系数
2、配方组成及浓度
配方中不同的组分性能不同,在冻结过程中形成的内部结构也会有所不同,对升华的阻力产生不同的影响;同时配方浓度越大,形成的结构越致密,阻力越大,下图列出了不同组分不同浓度的部分产品的阻力系数。(Shivkumar, G., et al., AAPS PharmSciTech, 2019. 20(8): p. 328.)
3、灌装的高度
如果在灌装量不能改变的前提下,尽量选择直径/高较大的容器,这样可使得灌装的高度较低,冻干过程中溶剂从底部升华出来所经过的干燥层的距离越短,阻力会越小,反之,会增加升华的阻力。
4、产品塌陷,微塌陷,开裂等现象
当升华过程中,产品结构发生塌陷、微塌陷或开裂等,在产品内部会形成一定的额外升华通道,通常情况下产品阻力会降低,这个时候也可以通过产品阻力数据或曲线来追踪样品是否发生了如上的这些质量现象,从而进一步进行工艺调整,优化产品质量。如图1,第一张是正常升华的阻力曲线图,随着干燥层的厚度增加,阻力呈现逐渐上升的趋势,后面两张是产品发生开裂和微塌陷时,升华阻力在中间出现了突然降低的现象。
图1:干燥层厚度和升华阻力数据曲线图
5、成核温度
样品在冻结过程中,首先会有个成核温度,当中心晶核形成后,晶体会围绕晶核继续生长。成核的温度越高,过冷度越小,形成的冰晶尺寸越大,主干燥形成较大的气流通道,升华阻力较低,反之,升华阻力会较高。如图2,列出了几种物质升华阻力随成核温度的变化情况。(Rambhatla, S., et al., AAPS PharmSciTech, 2004. 5(4): p. 54-62. )
图2:不同物质升华阻力和成核温度曲线图
6、预冻速率
预冻速率会影响形成的冰晶体的大小,在干燥阶段形成不同大小的升华通道,阻力不同,快速冻结时,晶体来不及生长,因此形成较小的晶体和升华通道,升华阻力大,反之,慢速冻结形成较大的晶体和升华通道,升华阻力小。
7、退火温度和时间对Rp的影响
退火是在样品的玻璃态转变温度Tg’以上共晶温度Teu以下维持一定的时间,让样品内部结构进行重新排列,晶体继续生长,为结晶的样品继续结晶等的一个过程。适当的退火温度和时间可以获得较大的冰晶,更强壮的骨架结构,因此通常来说会降低升华的阻力,然而有时候退火可能会适得其反。有研究表明,某种蛋白配方溶液(Tg’ -34℃)在-15℃退火3h时,反而增加了Rp,奇怪的是,通过在-8℃控制成核,问题得到了解决。因此不是所有的退火都是有益的,选择退火时需要慎重。
8、容器种类及规格
不同厂家的西林瓶,不同的材质,不同的大小,相同体积不同的高度/直径比例,不同的工艺(如管制瓶和模制瓶),瓶底的结构等等,这些会影响冻结速度,从而间接影响升华的阻力。
9、预冻过程中相变
不同的配方样品,在预冻过程中发生的变化也不相同,预冻的工艺也会有所不同。配方中的某些组分在冻结的过程中可能会发生相变,如玻璃态到晶态的转变,这些变化都会对冻结形成的样品内部结构有所影响,从而导致升华阻力的变化。因此我们也必须预先了解清楚样品配方中各种组分在冻结过程中可能发生的变化,进而来调整我们的预冻工艺,避免一些问题的发生。
Rp的检测方法
升华阻力Rp没有直接的测量工具,如果依靠人工的手段通过传热传质理论方程式计算间接获得,每次实验只能得到某个时间点的一个样品或几个样品的阻力数据,这种途径比较繁琐复杂,并且具有一定的误差,因此在冻干过程中基本没有人去真正做这个事情来研究具体的阻力数据,目前有一些比较高端的软件可以直接给出相关的数据信息。
1、单一样品瓶Rp的检测方法
(1)称重法:比较繁琐,需要对单个或几个样品瓶进行前后称重,手动计算升华速率,再根据阻力和升华速率之间的关系方程式算出某个时间的升华阻力,计算方法复杂并且具有一定的误差,不能实现实时数据的捕获;
(2)热流传感器:通过热流传感器直接捕获热流量,进而转化为升华速率,可以得到实时的数据但是仅仅是一个或几个样品的数据信息;
(3)相关的软件计算方法:如产品温度曲线迭代计算(Kuu 1989 and 2006; Zhou 2019)
或基于产品温度曲线的非迭代计算方法(Pikal/Bogner)
2、批次平均Rp的检测方法
(1)MTM方法
MTM方法即Manometric Temperature Measurement:关闭隔离阀25s, 监测压力升高的数值,得到产品温度和压力升高数据之间的关系式,压力升的数据由三部分组成,升华阻力主导的压力升,产品温度主导的压力升以及热传导导致的压力升,如下所示:
通过压力升回归方程式及传热传质理论方程,软件可自动计算出升华阻力Rp,MTM的方法简便快捷,可智能获得整个批次的实时阻力数据信息(图3),但是由于受到隔离阀的限制,目前主要用于中试及实验室冻干机,进行产品工艺的开发,优化以及设计空间的构建。
图3:MTM方法获得的升华阻力数据
(2)TDLAS方法
TDLAS即Tunable Diode Laser Absorption Spectroscopy,可调谐二极管激光吸收光谱技术方法是通过检测产品腔和冷阱腔通道中的水蒸气浓度和流速,从而给出实时升华速率的一种方法,获得的升华速率dm/dt 可结合传热传质方程式获得Rp(图4),软件实时记录并计算产品相关的数据信息。TDLAS的方法是目前用于工业生产型冻干机的一款高端的PAT技术,除了可以实时记录批量样品相关数据,还可以绘制冻干机的choking flow曲线图,判断一次干燥及二次干燥的冻干终点。TDLAS技术使得产品质量不仅仅只是依靠层板温度,真空度和时间来控制,得到了更好的保障。

图4:TDLAS方法获得的升华阻力数据(点击查看大图)
总结
冻干是一个漫长的复杂的传热传质结合的过程,我们必须深刻理解和掌握了这个过程中可能的影响因素并且得以控制,才能在确保整个过程顺利进行的同时使得冻干过程变得高效高质。
冻干设备推荐
SP Hull LyoStar 4.0冻干机
SP Hull LyoStar 4.0的设计和制造旨在加快生物制药产品的上市速度,使得冻干过程更加高效高质。LyoStar 4.0是一款中试规模的冻干机,基于全尺寸生产冷冻干燥机而设计,支持快速扩大规模,提供卓越的层板温度控制,快速层板降温,无与伦比的过程准确性和可靠性。它还包括一套过程分析技术(PAT)工具,扩展了SP Line of SightTM 技术,克服了在生物制品开发、扩大规模和制造过程中的关键冻干挑战。此外,LyoStar 4.0使用了一种更环保的冷冻气体,减少了冻干过程中的碳排放量。
主要优势:
-减少周期开发时间并节约宝贵的API:使用SMART和AutoMTM工具;
-易于放大:使用Line of SightTM系列技术、PAT工具和软件 ;
-提供额外的产品和工艺信息:如干燥层阻力、热流、传质以及不同的冷冻条件对干燥阻力的影响;
-尽可能大限度地实现过程控制和可重复性:Line of SightTM PAT工具可实现过程准确性、可靠性和批次一致性。
如果您对上述产品感兴趣,欢迎随时拨打德祥科技热线400-006-9696,或点击此处填写表单咨询。
SP Scientific
SP Scientific是德祥集团旗下代理品牌之一。SP Scientific公司旗下的VirTis公司是一家冻干机的生产厂家,其成立于1953年,是世界上历史悠久的冷冻干燥机制造商之一,该公司被认为拥有强大的冷冻干燥技术,能完善的开拓和研究工业冷冻干燥所需要的技术。美国FTS公司致力于制造冷冻干燥机的温度控制和管理系统及高端智能型冻干机。美国Hull公司是有近六十年的生产历史,是专业产业型冻干机的品牌,在国际生物及制药行业中有着重大的影响力。
SP 公司融合了VirTis、 FTS及Hull三个专业的冻干机品牌,可提供实验室系列冻干机,制备系列冻干机,药品研发型冻干机,中试生产型冻干机,小型生产型冻干机,产业型冻干机,通用型冻干机等七大系列,19大类,近52个机型,可满足用户的多种需求。SP Scientific公司所有的产品均通过ISO 9001:2000质量管理体系认证。
德祥科技
德祥集团成立于1992年,总部位于香港特别行政区。作为科学仪器供应商和服务商,德祥服务于大中华区和亚太地区,每年都为数以千计的客户提供全套解决方案。
公司业务包含仪器代理,维修售后,实验室咨询与规划,CRO冻干工艺开发服务以及自主产品研发、生产、销售、售后。作为深耕科学仪器行业的供应商与服务商,德祥现已服务于政府、高校、科研、制药、检测、食品、医疗、工业、环保、石化以及商业实验室等众多领域。公司目前在亚太地区设有13个办事处和销售网点,3个维修中心和1个样机实验室。
2009至2021年间,德祥先后荣获了“最/具/影/响/力/经/销/商”、“年/度/最/佳/代/理/商”、“年/度/最/高//销/售/奖”等奖项。我们始终秉承诚信经营的理念,致力于成为优秀的科学仪器供应商,为此我们从未停止前进的脚步。我们始终相信,每一天都在使这个世界变得更美好!
上一篇:英诺德针式过滤器也能拥有火爆全网的多巴胺穿搭?









